INTRODUCCION
El contenido de este texto es parte de los resultados de un proceso participativo de información y discusión, acerca de los elementos sociales, culturales, económicos y ambientales que involucran el tema de la utilización de energías renovables no convencionales (ERNC).
DEFINICION ENERGIA RENOVABLE NO CONVENCIONALES:
Se conoce como energía renovable, aquellas que se producen de fuentes o recursos renovables alternativos (no convencionales), como lo son:
Agua – sol – viento – termas – biomasa – corrientes marinas y otras.
Debido a sus características no se agotan por el consumo humano.
Esta temática es de gran importancia y atingente debido a la situación en que se encuentra nuestro planeta, provocado por la utilización excesiva de energías fósiles, las cuales por un lado tiene un potencial, desde el punto de vista energético, económico y productivo, pero a su vez también tiene un lado negativo, el cual es el daño irreparable que muchas veces conlleva a la extracción de las materias primas para la producción de energías convencionales.
A nivel mundial el tema de la utilización excesiva de energías convencionales ha sido tema de conflictos a nivel social y económico, todo esto a raíz de que el manejo y dinámica productiva de estas, es menos costosa que al poder implementar o desarrollar nuevos procesos de extracción y utilización de energías renovables. Actualmente existe una lucha constante entre países por el dominio comercial de estas energías. La escasez de algunas de estas fuentes es una problemática con la que muchos países deben lidiar a diario, ya que en algunos casos es tal la indiscriminación de explotación de estos recursos que se ven obligados a depender de la compra de energía a otros países y así mismo como consecuencia se empieza a generar una dependencia de abastecimiento.
Conjuntamente a esta problemática, comienza a desarrollarse un negativo escenario que tiene relación a la creación de cierto monopolio comercial, lo que muchas veces es un punto que conlleva a la lucha entre países por dominar aquel bien energético
Nuestro país no queda fuera de este triste panorama mundial, ya que si ir más lejos, hace pocos años experimentamos graves conflictos con Argentina al depender del gas que ellos nos vendían, lo que trajo en más de una oportunidad delicados conflictos políticos.
Es así como esta problemática genera aquel interés de investigar y de poder verificar cual es la verdadera factibilidad de poder desarrollar y aplicar el uso de nuevos manejos de extracción de recursos energéticos renovables.
Muchos son los países que ya han comenzado a invertir en estas nuevas dinámicas de utilización de energías limpias y renovables, ya que las ganancias y oportunidades no solo se dan en el ámbito económico sino que también otorgan una mayor conciencia sobre el impacto medio ambiente.
![]()
Fuente: www.conaf.cl
Dentro de esta estas energías renovables se encuentran: eólica- hidráulica- solar (paneles fotovoltaicos)- geotérmica - mareomotriz- y biomasa.
Bajo una evaluación de cómo actúan y se implementan estos mecanismos energéticos en Latinoamérica, se toma como área de investigación la “BIOMASA“, siendo esta la segunda fuente más utilizada.
DEFINICION BIOMASA:
“Materia orgánica originada en un proceso biológico, espontáneo o provocado, utilizable como fuente de energía” RAE. Y mas aun la investigación se encausa a un área de la biomas como es la utilización de la leña, para ello la investigación adquiere la siguiente estructura de análisis.
Tema: USO DE ENERGIAS RENOVABLES NO CONVENCIONALES “BIOMASA”
A Profundizar: USO DE LA LEÑA: “LEÑA, PRODUCCION CONSUMO Y CONTAMINACION”
Áreas de la biomasa:
BIOMASA ----- Biocombustibles
----- Leña como fuente energética “línea de investigación
ESTRUCTURA DE LA INVESTIGACION.
Ø Análisis continental
Ø Análisis binacional
Ø Análisis nacional
Ø Análisis territorial
Análisis Continental.
Mediante la investigación continental en Latinoamérica podemos deducir que la energía renovable no convencional es la tercera energía más utilizada precedida de dos energías convencionales como son el petróleo 40.1% y el gas 28.3%. Dentro de las renovables la biomasa es la segunda energía a nivel latinoamericano mas utilizada, donde resalta por sobre todo el consumo de leña tanto para los sectores industriales como para los residenciales y de servicio, los datos que arroja la investigación nos señala que, PERU, PARAGUAY, URUGUAY Y CHILE, son los países que mas consumen leña en Latinoamérica, con esto se pretende hacer una relación de producción, consumo y contaminación de cada área de estudio. Estos datos se suman a una mapeo realizado en el área de la contaminación por el uso de leña a nivel latinoamericano, donde los mismos países son los que poseen los índices más elevados de contaminación del aire, medidos en material particulado en el aire.
Profundizando en cada país de estudio podemos determinar que a nivel regional Chile y Uruguay poseen una relación en los índices de consumo como en la contaminación, que quiere decir esto , que las mismas ciudades de estos dos países que producen leña son las mismas ciudades que poseen los índices de contaminación mas elevados, no es el caso de los otros países como lo son Perú y paraguay los cuales producen bastante cantidad de leña pero se consume en otras ciudades y por ende se contamina en lugares diferentes a la producción.
Análisis Binacional.
En el análisis binacional se toman los casos de Uruguay y Chile, y sus regiones que poseen los índices más elevados de producción, consumo y contaminación. En el caso de Uruguay el consumo de leña como fuente energética se restringe a tres sectores de la economía industrial, residencial y servicios. Resaltando tres departamentos (regiones) Rivera, Paysandú y Canelones, los cuales son los mayores productores y consumidores de leña en Uruguay.
Según normativa, el índice máximo del nivel de contaminación es de 150 microgramos por metro cúbico de material particulado en el aire, donde el departamento de Paysandú es quien con mayor frecuencia eleva los índices de contaminación por sobre la norma, parámetro de comparación directa con chile ya que posee el mismo índice de regulación en la norma medioambiental de contaminación.
Análisis Nacional.
Para este análisis se toman las regiones más consumidoras productivas y contaminantes, debido a la utilización de la leña. Estas son las regiones del MAULE, LA ARAUCANIA, LOS RIOS, Y DE AYSEN. Donde podemos observar que dicha relación se ubica en el centro sur de chile, regiones que poseen la mayor superficie de bosque utilizado en la extracción de leña, y también resultan las ciudades con alto consumo del material y más contaminadas, esto quiere decir que en estas regiones del centro sur chileno, se produce leña, se consume y se contamina, la exportación a otras zonas es de menor escala.
Con esto se puede determinar mediante la investigación la siguiente relación: producción, consumo y contaminación.
Consumo Contaminación
Análisis Territorial.
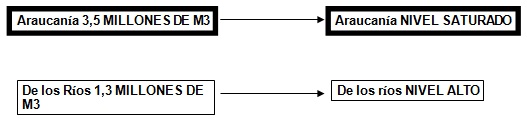
Dentro del análisis territorial se toma la región de la Araucanía como caso de estudio, debido a que es la región que posee el mayor índice de consumo y la mayor cantidad de producción de leña, esto se debe a la gran cantidad de empresas madereras en la zona. Y además que es la región que eleva con mayor frecuencia los índices de contaminación en el aire, llegando a niveles de saturación.
Esta contaminación tan elevada se debe a variables que influyen directamente en la contaminación como es el caso de la geografía de la región, la cual se encuentra en un valle, lo que permite crear una inversión térmica. Otra variable a considerar es que en la zona se encuentran las empresas más grandes en el rubro de la producción maderera. Pero la principal causa de la contaminación es que en la región la utilización de la leña es la principal fuente de energía en el sector residencial tanto para la utilización en calefacción como para la preparación de alimentos.
CRITICA
Para finalizar esta investigación, lo primero que se debe mencionar, es que existe una carencia de estudios e investigaciones; sobre todo, desde el punto de vista del rol que el papel, la juega y los bosque en general en las economías de la zona de la Araucanía, en términos de ingreso, en las prácticas sociales y culturales. También es necesario adentrarse en el estudio de los factores socioculturales de toda la cadena productiva de la leña, lo que apunta directamente a los sectores rurales y urbanos. Si no existen conocimientos acabados del recurso, difícilmente se puede diseñar políticas de resguardo, tanto en lo que implica la producción de leña en la zona y políticas para regularizar los índices de contaminación.
En la investigación ha tenido en consideración la premisa de que la novena región se caracteriza por tener una amplia heterogeneidad y diversidad sociocultural en la producción, uso y consumo de la leña. Por otro lado existen desequilibrios regionales en la distribución de los recursos forestales, en la relación a la distribución de la población y sus necesidades energéticas, lo que afecta la demanda y suministro de leña. Esto se expresa en desequilibrios entre las áreas que demandan y las que producen leña.
Si caracterizamos, desde un punto de vista económico, la producción, comercialización y consumo de leña en la IX región, encontramos que esta se desenvuelve en un mercado altamente informal, con una producción basada en bajas o casi nulas orientaciones técnicas y ambientales.
Los estudios muestran que además la leña en la IX región es utilizada en todos los sectores sociales, aunque los criterios de preferencia varían según cada grupo. Entre los criterios de uso se encuentran aquellos basados en practicas y creencias ancestrales, de mercado, disponibilidad del recurso, cuestiones de status social. Además, en todos los niveles y sectores existe la ausencia de criterios ambientales en relación a la producción, comercialización y consumo de leña.
Una característica es la situación actual de agotamiento del recurso, debido a un conjunto de factores: consumo domestico, demanda externa e interna por leña debido a sus cercanías de los principales centros poblados, necesidad de tierras de cultivos, presión histórica sobre el bosque nativo, etc. Todos estos hechos tienen como consecuencia un deterioro de la calidad de vida de las personas (deficiente calefacción y calidad en la preparación de alimentos), deterioro del bosque nativo y desaparición de especies leñosas; mayor inversión del tiempo, mano de obra y recursos para la obtención de leña, lo que va en desmedro del resto de las actividades productivas de la población.
Antes de abordar las conclusiones generales, las que van más allá de la temática que se han propuesto en este texto, se plantea una reflexión necesaria e ineludible. Avanzar en la discusión sobre el uso de la leña aparece como un recurso descolgado del bosque y de la economía en la IX región.
A partir de esta reflexión se concluye que: esta investigación para el que se elabora este texto trata sobre el uso de la leña enfatizando en la IX región, es necesario considerar que una política dendroenergetica (energía producida tras la combustión de la madera como leñan, carbón vegetal, etc. Corresponde al poder calorífico neto de la madera, energía forestal) que se debe contemplar a la región en forma integral. No se puede elaborar una política dendroenergetica centralizada en Temuco y otras ciudades con los recursos forestales de tola la IX región.
El sector rural de ala región es el que más depende de la leña, las políticas y estrategias deben dar cuenta de esta realidad, pues sus habitantes acceden de manera poco inequitativa a la oferta energética. Asimismo, el uso de la leña en el sector rural y en amplias áreas urbanas esta asociado a la pobreza, por lo tanto una política sobre el recurso debe conectarse con las estrategias que apuntan a su recuperación.
La demanda, uso y consumo de la leña esta marcada por prácticas sociales culturales y muchas de ellas asociadas a una utilización ineficiente del recurso. La transformación de estas prácticas debe cruzarse con la incorporación transversal de la educación ambiental y el mejoramiento de las condiciones de vida, se debe promover el diseño participativo, no desde arriba, de proyectos y experiencias locales y comunales sobre la producción comercialización, consumo y contaminación, de la leña, involucrando a la mayoría de los actores posibles.
Se debe desincentivar progresivamente el uso de la leña en el sector publico mediante el subsidio a la reconversión tecnológica con energías limpias en a ciudad o promover el uso de los desechos forestales industriales, con el fin de quitar presión a los bosques nativos en nuestro país.
![]()
Fuente “CONAF” Álvaro Bello


0 comentarios:
Publicar un comentario